Авария на Донской 11.08.2017
Пожалуйста, будьте аккуратны на дорогах, каждый раз, когда хочется перебежать дорогу в неположенном месте, остановитесь и заставьте себя поискать рядом пешеходный переход, особенно на дорогах шире двух полос.



Комментарии (443)
RSS свернуть / развернутьsvytt
key484
spsoft
Я бы еще добавил: соблюдайте скоростной режим!
FCSD
svytt
SIO
Barny
Но вот водитель… Таких пожизненно нужно лишать водительских прав!!! Грубое нарушение ПДД привело к трагедии… Соблюдай он скоростной режим, то у него было бы время на моневр. Толку от его экстренного торможения?!?
nuport
nuport
insight_adler
wall0805
key484
wall0805
А то, что водители забывают основы ПДД и фундаментальные знания преподаваемые в автошколах — это уже другой разговор!
в данной ситуации ошибки водителя:
1. Увидев пешехода не стал сбавлять скорость
2. Увидев что пешеход изменил направление, не предпринял максимально возможных действий (маневрирования) для исключения столкновения
SIO
писькамистажем не меряться. Проблема всего этого спора в том, что люди оппонируют друг другу на тему того, что больше виноват.И никак не хотят понять одну простую вещь: виноваты оба. Измерить вину в процентном соотношении вряд ли возможно. Да и не имеет смысла.
То есть, то, что виноват водитель, не отменяет вину женщины. И наоборот.
reStiler
key484
Просто когда ты пешеход, надо всегда помнить, что за рулём тоже человек сидит. Со своими загонами, жизненными проблемами, подчас усталостью. И когда встречаются на дороге два человека, где каждый на своей волне, тот, который пешеход, имеет гораздо больше шансов отправиться к предкам.
И тогда уже можно сколько угодно копья ломать, кто должен был тормозить, а кто не должен был выбегать. Толку-то…
reStiler
zummer
В остальном полностью с Вами согласен! Хороши оба! Тетушка повела себя как курица, ну и водила не предусмотрителен
SIO
zummer
Ну извините, раньше родиться не успел, а стаж считаю с момента получения прав ;-)
SIO
zummer
SIO
wall0805
liberalis
aziat
key484
aziat
key484
aziat
key484
wall0805
key484
Расчет должна проводить организация, которая имеет лицензию, есть специально обученные люди. А так, опять же пальцем в небо!
wall0805
key484
wall0805
Тётю ни в коем разе не оправдываю — меня тоже такие бессмертные вымораживают…
27062014
Опрометчиво утверждать то, чего не можете подтвердить.
SIO
SIO
Alechka
Зависит от результатов сдедствия.
reStiler
Alechka
Если будет признана виновной женщина, то вряд ли.
reStiler
Если, конечно, информация о смерти женщины – правда.
reStiler
kolhoz-nik
reStiler
kolhoz-nik
rijaya
kolhoz-nik
Если же «не очень»… Это много говорит о вас.
reStiler
TOSCHA
Одно дело, когда ты с этим сталкиваешься каждый день и оно превращается в рутину, другое дело единичные случаи…
SIO
svytt
wall0805
Как ни крути, человеческая жизнь подороже будет образовавшейся пробки
SIO
zummer
SIO
у пешехода есть право оказаться на дороге только в месте перехода и при разрешении светофора
zummer
Ибо не везде у нас есть переходы, и даже тротуары, а уж тем паче светофоры)))
Но так или иначе, человек оказался на дороге, со стороны вощдителя — это припятствия при виде которого он должен был сбросить скорость ну и далее по тексту…
SIO
zummer
Но факт остается фактом, уже случилось и оказался…
посему надо исходит из происходящего
SIO
Oksa77
SIO
если человек окажется в закрытой ТП и его током ударит, будут ли виноваты энергетики?
zummer
все зависит от ситуации и не может трактоваться однозначно в такой постановке вопроса!
SIO
оказался на дороге вне пешеходного перехода или обочины — сам виноват.
заплыл за буйки или пошел по путям — сам виноват…
zummer
Да и пальцы в розетку с несанкционированным влезанием в ТП — это абсолютно разные вещи, и рассматриваться, соответственно, будут по разному!
SIO
zummer
SIO
zummer
DreamKaa
SIO
Начни водитель резко забирать влево, да ещё и с резким торможением, его могло бы занести на левую полосу, либо вообще опрокинуть. Тогда масштабы могли быть более эпичными. В такой ситуации самое разумное — как раз быть по тормозам, не выкручивая руль никуда. Ятакщетаю.
reStiler
авось пронесёт.
))
zhdann
Люди на дороге ведут себя не предсказуемо. По моим наблюдениям: пожилые люди — начинают бежать в обратном направлении, молодые — бегут в сторону первоначального движения. Что и подтвердило данное видео.
D-huan
aziat
key484
skopi
key484
vvk2001
Это очень глупая и опасная мысль. С детства всех учат переходить дорогу в положенном месте.
Вышел на дорогу в неположенном месте — неси ответственность.
Тем более, тут есть видео доказательство.
skopi
Sonya77
SIO
Ну и по-человечески — у каждого человека есть голова на плечах, есть ответственность за свою жизнь. Если человеку самому его жизнь не важна, почему она должна быть важна другим. Ведь широкая загруженная дорога, ограждения специально стоят, но нет, человек упорно выходит на дорогу.
skopi
key484
Жалко ее, но вина ее, а не водителя.
skopi
и он должен быть готов к тому, что за нарушением последует возмездие.
zummer
Oksa77
Но так прямо +++
skopi
Oksa77
skopi
key484
Oksa77
SIO
Пункт 4.3. ПДД — Пешеходы должны переходить дорогу по пешеходным переходам, в том числе по подземным и надземным, а при их отсутствии — на перекрестках по линии тротуаров или обочин.
Sigiv
key484
reStiler
key484
Автомобиль на Виноградной остановился, чтобы пропустить пешехода на переходе. Сзади водитель зазевался. Стукнул первое авто в зад. Машина отскочила вперёд и сбила с ног пешехода, который переходил дорогу по проезжей части.
Речь не о последствиях, а о причинах.
Предположим, тот водитель, что на Виноградной, глянул бы в зеркало заднего вида и не пропустил бы пешехода, который стремительно шагнул на проезжую часть, пусть и на переходе. Чуть вильнул бы, но проехал. ДТП не было бы, пешеход бы не пострадал. Но где-нибудь на Привете, возможно, выложил бы гневный топик про водителя-мудака, который его не пропустил.
У человека может быть множество причин, по которым он избегает экстренного торможения. Ситуацию с метнувшейся бабкой он не просчитал? А может, он перед этим просчитал какую-то другую?
reStiler
key484
kolhoz-nik
key484
vvk2001
key484
Стоило ценой собственного здоровья и лежа переломанной на больничной койке узнать, что виноват водитель, нарушил несколько пунктов КоАП, и должен возместить ущерб?
Или можно было просто перейти по подземному переходу?
vvk2001
тут сравнение корректное — если бы водитель выехал на тротуар и стал то вперед, то назад на скорости по нему ездить.
Вот женщина примерно так поступила.
skopi
Тормозной путь при самых лучших условиях на скорости в 40км/ч равен примерно 2-3 метрам, и это если машина в хорошем техническом состоянии.
Ваш «любой момент» конкретно так не вписывается в погрешности.
DreamKaa
VVE_Rost
27062014
reStiler
961
key484
961
key484
961
Igor1966
reStiler
Igor1966
wall0805
Igor1966
wall0805
Igor1966
TOSCHA
wall0805
wall0805
TOSCHA
Если только не заплатить будущему руководителю.
wall0805
27062014
rijaya
reStiler
Igor1966
reStiler
TOSCHA
aziat
key484
zummer
Igor1966
aziat
liberalis
wall0805
liberalis
wall0805
liberalis
liberalis
privetsochi.ru/blog/auto_sochi/72905.html#comment2604011
olegsuchkov
Если Вам не понятны такие элементарные вещи, то Вы либо еще очень молоды, либо имеете такойже склад ума, как этот водятел.
nuport
«Не судите, да не судимы будете, ибо каким судом судите, таким будете судимы; и какою мерою мерите, такою и вам будут мерить. И что ты смотришь на сучок в глазе брата твоего, а бревна в твоем глазе не чувствуешь? Или как скажешь брату твоему: «дай, я выну сучок из глаза твоего», а вот, в твоем глазе бревно.»
Свт. Иоанн Златоуст
aziat
Да и еще, Россия светское государство. И люди живут в нем в правовом русле, а не по церковным понятиям.
nuport
aziat
И кстати, секс в нашей стране есть. Но видимо не у всех, коль Вас это волнует:)
nuport
skopi
то при таком маневрировании,
всё закончится для водятела гораздо хуже.
видели неоднократно.
))
zhdann
key484
insight_adler
key484
insight_adler
key484
insight_adler
nuport
key484
В любом случае хоть триста раз пешеход был не прав, «управление источником повышенной опасности».
insight_adler
Т.у. скотрее всего произошло: несся как угорелый, увидел тетку идущуюю к полосе, на которой он двигался — произвел перестроение, но тетка передумала и начала метаться, применил экстренное торможение, машина стала неуправляемой (машина небось еще на лысой резине), наезд. Т.о. степень вины и адекватность мер по предотвращению наезда будет оцениваться по началу и длине тормозного пути (как и его отсутсвию).
key484
insight_adler
Водитель проанализировав ситуацию и предположительный маршрут тетки перестроился в освободившуюся правую полосу, но как можно предугадать действия не очень умного человека, который еще не принял никакого решения и мечется по оживленной дороге…
wall0805
А за то что он маневрировать начал — это ему в отягчение пойдет — означает что он заранее видел пешехода на проезжей части в неположенном месте, но управляя средством повышенной опасности не предпринял мер для предотвращения ДТП.
key484
wall0805
key484
wall0805
В тоже время правильно приобщенное видео можно направить на экспертизу где попросить определить границы скорости движения ТС (это важно — не скорость, а границы).
key484
wall0805
insight_adler
wall0805
insight_adler
В противном случае любой штраф за пересечение проезжей части в неположенном месте неправомерен.
Как там говорят? Незнание законов не освобождает от ответственности.
reStiler
insight_adler
wall0805
Если полностью не знаете смысла некоторых выражения, то лучше молчите — сойдете за умного.
nuport
wall0805
nuport
wall0805
wall0805
wall0805
insight_adler
Тогда было бы ощутимо. А так — в лучшем случае во время показательных рейдов.
Люди прут на проезжую часть рядом с переходом не потому, что штраф маленький, а потому, что его с них один фиг никто взимать не станет.
Отсутствие наказания влечёт за собой вседозволенность.
reStiler
insight_adler
reStiler
zummer
nuport
А жена вообще дорогу боится, она стоит около пешеходного до полной остановки машин и только тогда переходит, в то время я жду ее уже на другой стороне.
wall0805
nuport
wall0805
wall0805
key484
wall0805
nuport
Igor1966
wall0805
«Удачи» Вам и Вашей семье…
nuport
wall0805
Был бы разговор живой еще и в хлебало зарядил на самой заре нашего разговора, сразу после пожелания в сторону моей семьи. А так сидите, обтекайте :-*
wall0805
Похоже мама с папой тебя не учили, что опасно грубить незнакомому человеку. Можно нарваться на очень крупную неприятность.
nuport
wall0805
reStiler
rijaya
reStiler
zummer
reStiler
Столько секунд будет переходить пешеход дорогу, если её ширина 6 метров:
Скорости движения пешеходов (км/ч):
nuport
key484
nuport
key484
Это не означает, что по всем улицам города можно мчаться со скоростью 60 км/ч.
nuport
key484
wall0805
svytt
Т.о.:
— нижняя граница скорости: 160/7 = 22,86 м/c или 82,3 км/ч
— верхняя граница скорости: 160/6= 26,66 м/c или 96 км/ч
иного быть не может. это факты.
key484
GeRa_IN_co4u
key484
andrey_b
rvs111
Oksa77
Igor1966
hartmann
Igor1966
hartmann
Igor1966
hartmann
aziat
reStiler
Igor1966
reStiler
wall0805
Igor1966
reStiler
Igor1966
hartmann
Igor1966
Igor1966
Она тоже должна думать, что делает.
skopi
KiselevaYuliya
Igor1966
А прими он влево, может там помеха, и на месте этой женщины он бы сейчас был.
Как же эти бегуны подставляют водителей! По глупости своей.
Ofira
Secretweapon
reStiler
Secretweapon
reStiler
svinstvunet
Ofira
svinstvunet
insight_adler
Сразу притормози, былоб больше времени среагировать на бабкин разворот и дефиле обратно по правой полосе, ещё и спиной по диагонали.
svinstvunet
GeRa_IN_co4u
key484
ego9479
key484
ego9479
key484
wall0805
key484
При наличии грамотного адвоката можно и оправдательный получить.
wall0805
TOSCHA
wall0805
ego9479
вся юриспуденция псу под хвост ради одной бабки…
zummer
TOSCHA
Большой видать секрет, что такой результат точный и безапелляционный.
ZMike
nuport
key484
ZMike
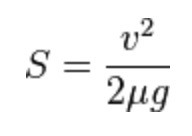
Для тех кто умеет считать и знает физику:
Длина тормозного пути определяется по простой формуле:
Из курса физики:
μ — коэффициент трения,
g — ускорение свободного падения,
v — скорость движения автомобиля в метрах в секунду.
Представляем ситуацию: едем со скоростью 60 км/час. В метрах 60-70 видим пенсионерку, которая, забыв о любых правилах безопасности, бросилась через дорогу.
Подставляем данные в формулу:
60 км/час = 16,7 м/сек; коэффициент трения для сухого асфальта и резины равняется 0,5-0,8 (обычно берут 0,7); g = 9,8 м/с.
Получаем результат — 20,25 метров.
А зная коэффициенты сцепления с дорожным покрытием, можно легко определить длину тормозного пути при различных условиях. Коэффициенты:
0,7 — сухой асфальт;
0,4 — мокрый асфальт;
0,2 — укатанный снег;
0,1 — гололед.
Понятно, что такое значение может быть только для идеальных условий: хорошее качество резины и с тормозами все отлично, вы тормозили одним резким нажатием и всеми колесами, при этом не ушли в юз и не утратили управляемость.
nuport
Не учтены: уклон дороги, окружающая температура и влажность воздуха, давление шин в колесе, состяние тормозных колодок и гидравлической тормозной системы, площадь сцепления шины с дорогой, вязкость резины при заданной температуре.
При штатном торможении без проскальзывания резины по асфальту тормозной путь может быть значительно ниже.
key484
nuport
key484
Главная задача ABS — не дать уйти автомобилю в неконтролируемый занос. Принцип действия этой системы схож с принципом ступенчатого торможения — колеса полностью не блокируются и тем самым у водителя сохраняется возможность управлять автомобилем.
nuport
Остальной бред не комментирую
key484
Удивите меня!
nuport
key484
nuport
TOSCHA
Ofira
TOSCHA
Этой стране нехватает социальной рекламы и о ПДД, и о профилактике туберкулеза, ВИЧ, гепатита и т.д. и т.п.
11A11
reStiler
TOSCHA
key484
Я не видела трамвая. Я вообще его тогда впервые в жизни увидела). Вот такое знакомство было… К чему это все: дети, дети не взрослые, они могут вот так же поступить, как я тогда. Поэтому, надо ехать тихо… Старики, старики уже не молоды и не так расторопны и шустры на смекалку и это тоже надо понимать. А есть просто бестолочи, как недавно мне попался на объездной. Хорошо, у меня обзор дороги был получше, чем у автора видео и я начала тормозить заранее… А он, как петух с отрубленной башкой, бежит через дорогу, сломя голову…
11A11
Мне было смешно, а тётя долго была не в себе.
rijaya
liberalis
rijaya
rijaya
Ну окей, вот перехожу я всегда по переходам, не важно, подземным наземным, но, водители, даже не удосуживаются притормаживать у них, а если пешеход запнется и упадет, да мало ли, что, и итог, стоишь как дебил, ждешь, пока не будет машин, или пока сознательный водитель притормозит у перехода и можно перейти, хотя и это не защитит тебя, ибо по другой полосе летят торопящиеся, забывшие о том, что и они бывают пешеходами.
Добрее надо быть, а то почитаешь комменты и складывается ощущение, что если кто-то нарушает — значит его необходимо задавить, лишь жизни, ну а что, сам же вышел.
duality
11A11
а когда, например, у висячего моста по диагонали перебегают к рынку — стараюсь проехать по пяткам, чтоб обосрались…
zummer
Ofira
zorro3
ekv
20fg59
Почему виноват сразу водитель? Он не Бог чтобы предсказать, что она выбежит на дорогу и начнет бегать туда-сюда. Там вообще ограждения стоят специально.
Жалко женщину, но она же осознавала, что делает… ей не 5 лет. И она, думаю, дееспособна.
Не знаю, было ли превышение (пусть с этим разбираются компетентные органы), но поведение женщины сравнимо с тем, как если бы водитель начал кататься туда-сюда по тротуару, задевая людей. Там бы, мне кажется, ни у кого вопросов не возникло бы, кто виноват.
skopi
ekv
reStiler
key484
ekv
Недавно случай был. Не в Сочи, правда. Такая же заметавшаяся бабка стала причиной массовой аварии, в которой пострадали несколько человек. Выскочила на дорогу перед самым автомобилем и давай суетиться. Водитель, чтобы не сбить дурёху, вынужден был отправиться на встречку, т.к. справа был тротуар с пешеходами. А бабка ускакала на остановку неподалёку, прыгнула в автобус и уехала.
reStiler
key484
ekv
И да, ПДД предписывает многое, а жизненные ситуации намного разнообразнее. Водитель предпочёл разбить своё и чужое железо, а не класть на капот бабку. Потому что бабку бы он точно убил бы, а так — все живы. Хоть и немного помяты.
reStiler
rijaya
aziat
Поэтому, увы, неправа она.
А ожидать, что водитель будет всевидящ как Бог… по меньшей мере глупо. Он должен соблюдать правила, пешеходы должны соблюдать правила и будет все норм.
Если произошел инцидент, виновата та сторона, которая нарушила правила, даже если очень жалко другую.
skopi
duality
предугадать ее поведение было правда сложно. практически невозможно
skopi
сначала он должна была начать тормозить,
потом всё остальное.
zhdann
skopi
key484
нетормозя и неманеврируя едем, как будто его там нет.
выеденного йайца не стоит.
zhdann
Увы.
ну а по сути, удачи в подобных переходах дороги вам и вашим близким, при такой манере перехода она пригодится
skopi
skopi
как правильно ездють?
)))
zhdann
но ожидаю её от окружающих.
))
zhdann
zummer
zhdann
не давим и не похер.
но наследники должны восстановить авто.
zummer
Начни тормозить — глядишь и наследников не придётся беспокоить.
Иначе, кто знает, как дело обернётся…
zhdann
впереди через полсотни метров переход, сзади так же в полсотни метров переход.
и вдруг тебе о капот с кустов прыгает бабка с малолетним внуком.
ты по тормозам!
бабка, планировавшаяся опереться о твой капот, скользит рукой по воздуху и валится на асфальт, цепляя головой твой бампер, и тебя сзади тукает, не успевший среагировать, водятл.
выходишь такой: «мать, ты цела? ули ты ребенком рискуешь, если самой жить надоело?»
а тебе в ответ: «а чо ты тормозишь, где тебя не просят?! ты своим резким торможением меня верного пятерика лишил, сволочь!»
zummer
zhdann
key484
пешехода там не должно было быть. точка.
skopi
key484
))
zhdann
Мой дед, который сидел за рулем больше 40 лет, всегда говорил: внуча, всегда помни о правиле трех Д (дай дорогу дураку), потому что дураки были и будут всегда, хоть пешие, хоть рулящие.
В этой ситуации их два. А мог бы быть один, точнее одна.
Oksa77
Уважение ему и низкий поклон!
Все верно сказал
SIO
Oksa77
reStiler
вполне хватает трех Д. ;)
zummer
ekv
Повторюсь, есть человек, который нарушил правила, как бы ни было его жалко, нельзя назначать виновным того, кто их не нарушал (неясно по скорости, но вряд ли больше 80).
skopi
key484
skopi
key484
skopi
4. Обязанности пешеходов
vvk2001
key484
vvk2001
key484
Она могла бы избежать этого, перейдя проезжую часть согласно главе 4 ПДД.
Ну, допустим, понесет водитель наказание, а она здоровье потеряла из-за собственной халатности.
vvk2001
Дальше что?
Рекомендую для прочтения ветку форума дром.ру под названием «ДТП с пешеходом или пассажиром. Должен ли платить невиновный водитель?»
forums.drom.ru/law/t1151923834.html
insight_adler
vvk2001
Водитель да, мог бы сбросить скорость, увидя пешехода. Но вина пешехода в данном случае очевидна. Дай Бог чтоб у женщины не было последствий для здоровья! У меня у свекрови проблема с ногой, ходит всё равно по подземным переходам с палочкой. Вот почему на Донской нет ни одного нормального пешеходного перехода и ни одного светофора? Почему пешеходы не поддержали митинг по отсутвию левых поворотов? Всё устраивало? С периодичной регулярностью происходят аварии на Донской! Кто ответит за эту «логистику»???
Sonya77
key484
Sonya77
key484
Sonya77
rijaya
где еще не хватает?
zummer
Почему на Виноградной есть разные переходы и левые повороты? Донскую сделали скоростной трассой, поэтому нет светофоров и пешеходных переходов нормальных? Тогда почему этого водителя обвиняют в превышении скорости?
Sonya77
конкретно по Донской все переходы оборудованы подъемниками, по которым администрация отчиталась о полном создании безбарьерной среды.
и да, как-то на платановой остановился и начал воспитывать бабку с палочкой, которая прыгнула под мои колеса прям с заборчика на месте старого наземного перехода.
так она тоже ответила, что старая, ноги болят, и поэтому не может спуститься в подземный переход.
а через заборы сигать она может.
zummer
То что администрация отчиталась, это ничего не значит. Они много чего говорят…
Проведите эксперимент, сломайте ногу и пройдитесь по подземным (за одно и наземном) на Донской. Вот тогда и поговорим. Хотя бы просто выйдите из авто и проверьте работу подъемников…
Sonya77
не работают — это другой вопрос. как в советском магазине: «почему икры нет? а потому что спросом не пользуется — никто не спрашивает»
не, если вас сильно жмет — можете перебегать через дорогу. даст Бог, не придется о вас писать на привете аналогичный сабж.
zummer
Sonya77
zummer
purichkevich
key484
Во-вторых, тётенька явно не в ладах с ПДД. Судя по всему, читала через строчку.
В-третьих, на видео отчётливо видно, что тётенька начала движение от обочины спиной к транспортному потоку, а застопорилась, увидев КамАЗ (смотрела именно в ту сторону, когда внезапно остановилась и решила вернуться), который скорость НЕ превышает. К закадровому герою видеозаписи тётенька всё время спиной. Если она пытается рассказывать, что из-за него метнулась обратно, тогда у неё глаза на ягодицах, не иначе.
reStiler
key484
key484
reStiler
Oksa77
key484
Oksa77
В другом случае, когда водитель попытался избежать столкновения с пешеходом, это закончилось 7 смертями
Бабушка-пешеход убила семерых людей
Flayer
Чем больше " тут " нахожусь, тем больше прихожу к выводу —
90 % клинических идиотов…
Igor1966
skopi
Igor1966
Flayer
skopi
zhdann
20fg59
11A11
20fg59
А если, а если, бла бла бла… а если водитель ваш сын, а если у него с сердцем плохо стало… бла бла бла…
если вы считаете себя таким умным, то лучше помолчите, тогда и правда может кто-то в это поверит.
Secretweapon
Дорога — территория множества ТС. Тротуар — территория множества пешеходов.
На дороге — есть ПДД. На тротуаре — схождение звезд в полумесяце в позе козерога.
И всегда в комментариях выехавший на тротуар «мудаксукарасстрелятьмытутходим», а вышедший на дорогу где попало «нувышелжеичтоэтонормальносредствоповышеннойопасностилишитьправ».
Почему это так работает никто не знает. Почему при схожих «нарушениях» виновник всегда водитель — а хер знает. Потому что в ПДД написано. Там для пешеходов тоже написано, выше цитировали. Хоть в глаза насцы — водитель должен остановиться, должен смотреть сквозь пространство и время, угадывая куда бабуля ломанется и в какую сторону будет смотреть.
Дорогой пешеход, водитель на дороге едет. Он едет по ней, понимаете? Он не выезжает и стоит в ожидании ваших свершений в забегах на короткие дистанции. Он не может осмотреть все вокруг себя раз в секунду. У него нет машины времени, он не знает будущего. Он просто едет. С превышением или без. Он такой же человек как и вы. Точно такой же. С ошибками, забывчивостью и прочими недостатками.
И это общедоступный факт. Его пора принять как данность. И в части человеческого фактора, и в части машин. Машины уже никуда не уйдут из нашей жизни. Они будут всегда передвигаться по дорогам. Что сложного в этом знании? Почему пальцы в мясорубку вы не засовываете, но под машины бежите? Почему опасность мясорубки вами принимаема, а машины нет? Почему перед своими глазами вы вешаете себе бумажку «средствоповышеннойопасности» и идете на территорию этого самого средства повышенной опасности под ту самую опасность, которую вы изначально знаете и понимаете?
Это вопрос даже не в плоскости ПДД лежит, речь о банальной логике. Ну, вот, встретилось два одиночества. Один ехал, другая — шла. Один приехал, другая пришла. Оба исковеркали себе жизнь.
Endless_666
ekv
Endless_666
key484
Endless_666
rijaya
rijaya
но кому это мешает кинуться под колеса?
zummer
rijaya
PARAZZZIT
muxaizsochi
в частности — один подземный переход и куча надземных, тормозящих сьезды\заезды на Донскую. Какая-то мразь сэкономила на проекте. Вместо одного большого перехода со множеством входов\выходов, не позволяющих ходит народу сверху по проезжей части имеем суррогат.
key484
yandex.ru/maps/-/CBU4I2aAWD
А у нас воруют деньги на проектах и реализации — один переход и один вход, чтоб добраться до него — бегай через нерегулируемые съезды на поворотах.
key484
muxaizsochi
Есть конкретные идеи, как «изменить основные потоки движения пешеходов», которые прут по дороги прямо НАД подземным переходом? Нет, я ещё отдалённо могу понять, когда на Новой Заре перебегают, не желая полпути к Юбилейной преодолевать. Там альтернатива хреновая. Но тут-то? А на самой Юбилейной? А на Молодёжной? А на мясокомбинате? А на «Ривьере», например? Везде же переходы есть!
Это точно про Донскую? Там с точностью до наоборот. Один надземный и куча подземных переходов.
reStiler
key484
Посмотрите — подземный пешеходный переход сейчас является самоцелью — он вдали от основных пешеходных направлений и по хорошему внутри развязки его быть не должно в принципе, т.к. переход к нему по нерегулируемым надземным переходам это также опасная затея, торможящая движение как пешеходов, так и транспорта.
key484
В данном случае – да, элемент дуристики есть. Впрочем, он достаточно просто объясняется. Строили в сжатые сроки и была задача: а) минимизировать вероятность выкупа участков с сопутствующем этому затягиванием сроков; б) минимизировать необходимость переноса городских коммуникаций.
По первому пункту почти уложились. По второму — перекладка была, если не ошибаюсь, всего в одном месте. По-моему, водовод. Так отключали несколько раз. Что было воспринято весьма нервно местными жителями, уставшими от предолимпийского строительства.
reStiler
muxaizsochi
Другой вопрос, что не предусмотрели переходы во всех направлениях. Тут можно только предполагать, почему. Вариантов несколько: экономия денег, опасения сорвать сроки, боязнь народного гнева из-за большего объема переносимых коммуникаций.
reStiler
rijaya
Сложно оценивать, когда идёшь к нему спиной.
Вы же были «на месте аварии через несколько минут», а не во время неё… Или вы тоже из числа экспертов, точно определяющих скорость по видео?
Вот тут согласен.
reStiler
PARAZZZIT
reStiler
privetsochi.ru/blog/auto_sochi/72905.html#comment2604011
olegsuchkov
reStiler
PARAZZZIT
reStiler
span
Бабуля дура? да.! Да хоть 200 гнать будет не должно там быть пешеходов сука, переход подземный для кого строили.? Развели флейм, успел не успел, должен был успеть.
Давайте ещё реакцию водителя измерим вдруг тормоз)))
gena-73
— автор управляет автомобилем, любой автомобиль априори является источником повышенной опасности. Об этом Вам должны были рассказывать в автошколе. Об этом вам расскажет любой инспектор;
— автор управляет автомобилем с такой скоростью и навыками, с которыми он НЕ способен был предотвратить столкновения. Результат мы можем увидеть на записи;
— можно лететь хоть 200 по городу, если есть уверенность, что с такой скоростью при внезапном препятствии автомобиль гарантированно остановится. Но, напомню Вам, ПДД написаны кровью;
— не имеет значения, была там бабка или маленький ребёнок, была ли цель суицида или автоподставы. Имеет значение только то, что автор проворонил ситуацию, в которую адекватный водитель не попал бы, заработав себе длительный геморрой, а бабуле испортив здоровье;
— судя по результату на видео — да, водитель тормоз. Абсолютно не важна его степень вины, важно то, что он устроил замес на ровном месте.
ekv
Давайте уже всех водителей сажать ибо все придурки двигались и не смогли вовремя остановится. Бабулю к суду за повреждение тс.))
gena-73
ekv
rijaya
с начала видео, до того как он начал тормозить прошло 8 секунд, 265/8= 33 м/с или 119 км/ч
olegsuchkov
Secretweapon
olegsuchkov
Secretweapon
Да и траектория отображена несколько неверно в части финальной точки. Торможение началось раньше, до отворотки направо. У меня аналогичным методом получается что-то в районе 80-90.
Но и ваши, и мои рассуждения – лишь совокупность частных мнений.
reStiler
вот: 192 м (яндекс карты) за 7 сек (взято с регистратора) = 27.43 м/с или 98,748 км/ч
olegsuchkov
Уверен, группа разбора ДТП провела все необходимые замеры. Значит, скорость товарища известна. Только сюда к нам никто сообщать её не придёт.
reStiler
по скорости согласен.
больше 80 однозначно.
zhdann
rijaya
kolhoz-nik
27062014
Kusuko
Skif
Kusuko
Skif
Ofira
Secretweapon
TOSCHA
ZMike
kolhoz-nik
ZMike
scorp_man
rijaya
xn----ctbbwlldibd3aei7k.ru-an.info/%D0%BD%D0%BE%D0%B2%D0%BE%D1%81%D1%82%D0%B8/%D0%BA%D0%B0%D0%BA-%D1%81%D0%BF%D0%B0%D1%81%D1%82%D0%B8-%D1%82%D1%8B%D1%81%D1%8F%D1%87%D0%B8-%D0%B6%D0%B8%D0%B7%D0%BD%D0%B5%D0%B9-%D1%81%D0%B4%D0%B5%D0%BB%D0%B0%D0%B2-%D0%B3%D0%BE%D1%80%D0%BE%D0%B4%D0%B0-%D0%B1%D0%B5%D0%B7%D0%BE%D0%BF%D0%B0%D1%81%D0%BD%D1%8B%D0%BC%D0%B8/welcome-2257-0-4/
Archto
reStiler
rijaya
то тут выше уже пытались рассказать про презумпцию виновности автомобилиста.
zummer
Таких, конечно, немного, но они есть.
rijaya
rijaya
Только зарегистрированные и авторизованные пользователи могут оставлять комментарии.